Uncja algebry jest warta tony słownych argumentów.
John B.S. Haldane
Wspomniany powyżej cytat Johna B. S. Haldane'a trafia w samo sedno algebry. Algebra ma swoich fanów, którzy uwielbiają ją analizować, ale znajdzie się też rzesza malkontentów, którym, na samą myśl o algebrze, dreszcz przebiega po plecach.
W dzisiejszym artykule przeanalizujemy niektóre podstawowe zasady algebry, równania, przykłady i definicje, aby przybliżyć informacje algebraiczne wszystkim rodzajom uczniów.
Podstawowe zasady algebry
Bez zasad i ograniczeń społeczeństwo nie może efektywnie istnieć; trzeba nam powiedzieć, co mamy zrobić, żebyśmy poznali nasze ograniczenia. Dlatego koncepcje i dyscypliny powszechnie stosowane we współczesnym społeczeństwie muszą mieć reguły, aby mogły prawidłowo funkcjonować i być zrozumiałe dla ludzi.
Należy koniecznie podkreślić, że na wszystko w życiu istnieją zasady. Od obliczania zużycia paliwa po określanie liczby stolików obsłużonych przez kelnera w ciągu godziny, algebra jest w ciągłym użyciu.
Dlatego bez dalszej zwłoki rozważymy niektóre zasady algebry dotyczące arytmetyki, wykładników i pierwiastków.

Zasady algebry związane z arytmetyką
Rozdzielność mnożenia
Rozdzielność mnożenia opiera się na fakcie, że mnożysz coś przez sumę dwóch lub więcej innych wyrazów. Twoje mnożenie można rozłożyć na każdy z różnych wyrazów powiązanych z równaniem. Przykład rozdzielności mnożenia względem dodawania jest następujący:
y(x + y) = xy + xz
Po ustaleniu niezbędnej kolejności działań znalazłeś odpowiedź.
Zasady dodawania, odejmowania, dzielenia i mnożenia ułamków zwykłych
Prawa algebry arytmetycznej nieco się zmieniają, gdy mamy do czynienia z równaniami zawierającymi ułamki.
Na przykład, jeśli chcesz pomnożyć ułamek, licznik ułamka odnosi się do ułamka jako pełnej liczby. Dlatego jeśli chcesz pomnożyć ułamek, pomnóż licznik i cel zostanie osiągnięty.
Poniższy przykład pomoże tym, którzy są bardziej wzrokowcami, gdy próbują pomnożyć ułamki zwykłe:
6 (1/3) = ab/c
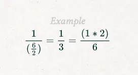
Dzielenie ułamka jest bardzo ściśle powiązane z wspomnianą wcześniej zasadą mnożenia. Dzielenie mianownika ułamka będzie miało taki sam efekt, jak pomnożenie licznika. Poniżej znajduje się przykład pozwalający lepiej zrozumieć:

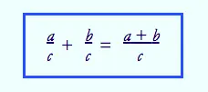
Zasady dodawania i odejmowania ułamków są takie same: mianowniki muszą być identyczne; tak jak to jest w arytmetyce.
Liczniki należy dodać, a ich sumy należy umieścić nad wspólnym mianownikiem.
Poniżej znajduje się świetny przykład zrozumienia podstaw dodawania i odejmowania ułamków w algebrze:

Jest mnóstwo innych zasad algebry związanych z arytmetyką, które można analizować; powyższe to podstawy, które należy opanować od początku.
Zasady algebry dla wykładników
Jeśli czytasz ten artykuł i zapomniałeś, czym są wykładniki, odświeżymy Ci pamięć. Wykładniki to wielkość reprezentująca potęgę, do której należy podnieść liczbę lub wyrażenie, zwykle wyrażaną jako podwyższony symbol obok nazwy lub wyrażenia w algebrze.
Tak jak wszędzie indziej, tak i w algebrze obowiązują pewne zasady dotyczące wykładników:
- Potęga o wykładniku 0: na przykład: n0 = 1 oznacza, że wszystko podniesione do potęgi zerowej wynosi 1.
- Dzielenie potęg o tej samej podstawie: iloraz dwóch potęg o tej samej podstawie jest równy podstawie podniesionej do różnicy dwóch wykładników.
- Mnożenie potęg o tej samej podstawie: iloczyn dwóch potęg o tej samej podstawie jest równy podstawie podniesionej do sumy dwóch wykładników.
Weź korepetycje z matematyki na Superprof.
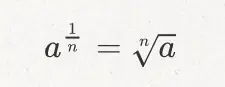
Odrębne zasady algebry dla pierwiastków
W świecie algebry pierwiastkowanie jest niezbędne i można je postrzegać jako przeciwieństwo potęgowania.
Jedną z typowych reguł związanych z pierwiastkami w algebrze można przedstawić następująco:

Przedstawione powyżej wyrażenie algebraiczne pasuje do reguły wykładnika krytycznego:
am ∙ an= am + n
Istnieje wiele innych definicji, słówek i zasad, które można przyswoić na temat pierwiastków. Wspomniane wcześniej to tylko mały przedsmak, który pozwala wszystkim zrozumieć, jak logiczna i dobrze zorganizowana jest matematyka, zwłaszcza algebra.
Wybierz korepetycje matematyka z Superprof.
Proste równania i nierówności algebraiczne
Przed opanowaniem kilku prostych równań algebry, które można znaleźć w podręcznikach lub na egzaminach, konieczne jest zdefiniowanie równania. Według wielu źródeł równanie lub nierówność można rozumieć jako:
Dwa wyrażenia po obu stronach znaku wskazującego na ich związek.
Relacja w równaniu zawiera znak równości (=).
Relacje w nierówności zawierają znak większy od (>) lub mniejszy od (<).
Kiedy większość ludzi wspomina o równaniach, ma na myśli równania algebraiczne; są to równania zawierające litery i cyfry.
Jak rozwiązuje się równania i nierówności algebraiczne?
Równania algebraiczne rozwiązuje się, sprawdzając, jakie liczby reprezentują litery.
Poniżej znajduje się trywialny przykład tego, jak łatwo proste równania:
1 + 1 = 2
2 + 5 > 2 + 4
Można przekształcić w równania algebraiczne, zastępując jedną z liczb x:
1 + 1 = x
x + 5 > x + 4
Zatem po zamianie części liczb na x możemy jednoznacznie określić, że wartość x wynosi 2. Za pomocą litery x można w dowolny sposób tworzyć wyrażenia algebraiczne; y jest również używane do reprezentowania nieznanych elementów równań.
W każdym równaniu istnieją składniki, które reprezentują różne rzeczy. Na przykład, jeśli równanie zawiera litery i cyfry, litery nazywane są zmiennymi, a liczby są współczynnikami. Inna zasada równań mówi, że jeśli wyrażenia mają dokładnie tę samą zmienną, stają się znane jako wyrażenia podobne i można je dodawać, odejmować, dzielić i mnożyć tak, jakby były prostymi liczbami.
W niektórych sytuacjach, aby skutecznie rozwiązać równanie algebraiczne, należy zmienić układ wyrażenia i wyizolować x. Aby zmienić układ równań, należy przestrzegać prostego zestawu zasad, zanim w ogóle zacznie się je rozwiązywać.
Znając wcześniej wspomniane informacje o równaniach, uczniowie unikną nieporozumień i od początku poprawnie zrozumieją podstawy algebry.
Znajdź nauczyciela matematyki na Superprof. Wystarczy wpisać np. „korepetycje matematyka Warszawa” w wyszukiwarkę platformy.

Podstawowe przykłady algebry dla wszystkich uczniów
Ponieważ algebra jest dyscypliną akademicką, która potrafi przyprawić o ból głowy, znajdziesz wiele zasobów internetowych, oferujących:
- wyjaśnienia krok po kroku,
- przykłady,
- gry,
- lekcje wideo dotyczące różnych aspektów działań matematycznych.
Aby znaleźć nowe przykłady, które można przestudiować po lekcjach, zdecydowanie zalecamy odwiedzenie witryn takich jak Khan Academy i obejrzenie 5–10-minutowych filmów wideo (idealnych dla uczniów wzrokowców!), wzięcia udziału w quizach i przyswojenia sobie podstawowych pojęć.
Matemaks jest kolejnym portalem, na którym znajdziesz przykłady zadań matematycznych. Zawiera mnóstwo informacji, które pomogą uczniom mającym trudności w osiągnięciu sukcesu, jeśli wiesz, gdzie ich szukać.
Znalezienie nauczyciela algebry to świetny pomysł, aby zrozumieć podstawowe pojęcia algebry.
Definicje algebry
Jeśli podczas czytania tego artykułu napotkałeś pewne wyrażenia, terminy lub konkretne słowa, których nie zrozumiałeś, nie jesteś sam.
Poniżej znajdują się niektóre specyficzne terminy algebry wraz z ich definicjami:
- Arytmetyka: wywodząca się z greckiego słowa arithmos („liczba”), arytmetyka jest gałęzią matematyki zajmującą się badaniem liczb, zwłaszcza właściwości dodawania, odejmowania, mnożenia i dzielenia.
- Licznik ułamka: liczba nad linią ułamka zwykłego pokazująca, ile części mianownika, nazwa w dolnej linii, zostało wziętych pod uwagę. Przykład: 2/6.
- Mianownik:liczba znajdująca się pod kreską ułamka zwykłego; dzielnik.
Inne słowa oparte na algebrze, takie jak zmienne, można znaleźć w artykułach Superprof.
Możesz dowiedzieć się więcej o regułach, równaniach i konkretnych przykładach algebry przed rozpoczęciem nauki w szkole średniej, na zajęciach grupowych dla uczniów chcących doskonalić się w matematyce lub jako odświeżenie wiedzy dla dorosłych, którzy po prostu zapomnieli wcześniej poznane pojęcia.
Wyszukaj korepetycje matematyka na Supeprof.
Podsumuj za pomocą AI









